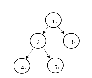
Construct a complete binary tree with the input number N (N=1~20) and output the preorder traversal, inorder traversal and postorder traversal of the tree.
Ex N = 5 N=8


Hint: if the parent node is at index i then the left child node is at index (2*i + 1) and the right child node is at index (2*i + 2).
#include <iostream>
using namespace std;
class Node{
private:
int val;
Node* left;
Node* right;
public:
Node(int data):val(data),left(NULL),right(NULL){}
void setLeft(Node* node){
this->left=node;
}
void setRight(Node* node){
this->right=node;
}
Node* getLeft(){
return this->left;
}
Node* getRight(){
return this->right;
}
int getValue(){
return this->val;
}
};
Node* insertLevelOrder(int arr[], Node* root, int i, int n)
{
//TODO
}
void inOrder(Node* root) {
//TODO
}
void preOrder(Node *root){
//TODO
}
void postOrder(Node *root){
//TODO
}
int main()
{
int num;
cin>>num;
int arr[20]={0};
for(int i=0; i<num; i++){
arr[i]=i+1;
}
Node* root = insertLevelOrder(arr, root, 0, num);
inOrder(root);
cout<<endl;
preOrder(root);
cout<<endl;
postOrder(root);
cout<<endl;
}